Metodické pokyny

Metodické pokyny určují způsob, jak naplnit požadavky zákona o prevenci závažných havárií a související legislativy.

Metodické postupy a další materiály vztahující se k prevenci závažných havárií

Metodiky a infromační zdroje Ministerstva životního prostředí:

​Další metodiky a inforamační zdroje Odborného pracoviště pro prevenci závažných havárií

Speciální číslo JOSRA PREVENCE ZÁVAŽNÝCH HAVÁRIÍ

Projekty

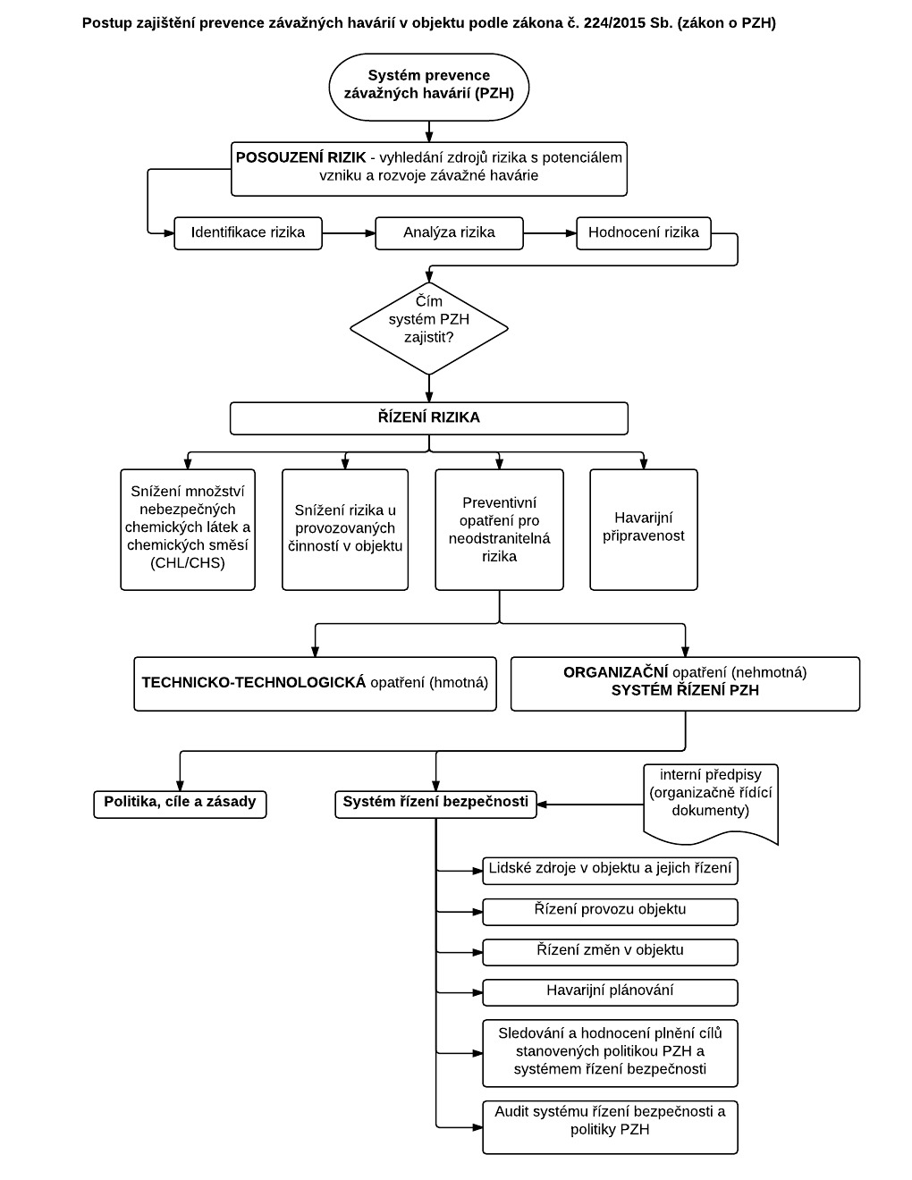
Průběhové diagramy

Další dokumenty

Informační zdroje - vzdělávací materiály literatura, databáze