Úvodní stránka

PŘEHLED OBJEKTŮ SPADAJÍCÍ DO PŮSOBNOSTI ZÁKONA č. 224/2015 Sb., O PREVENCI ZÁVAŽNÝCH HAVÁRIÍ

Modul poskytuje především:

  • rejstřík objektů, včetně informací o jejich provozovatelích, činnostech a nebezpečných látkách v nich umístěných, včetně prostorových dat o objektech a jejich bezprostředním okolí,

  • registr plánovaných a provedených kontrol,

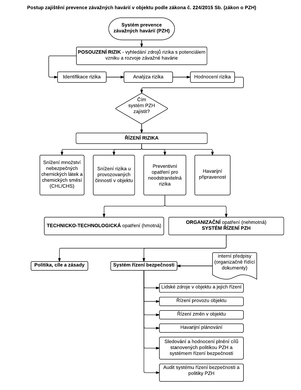
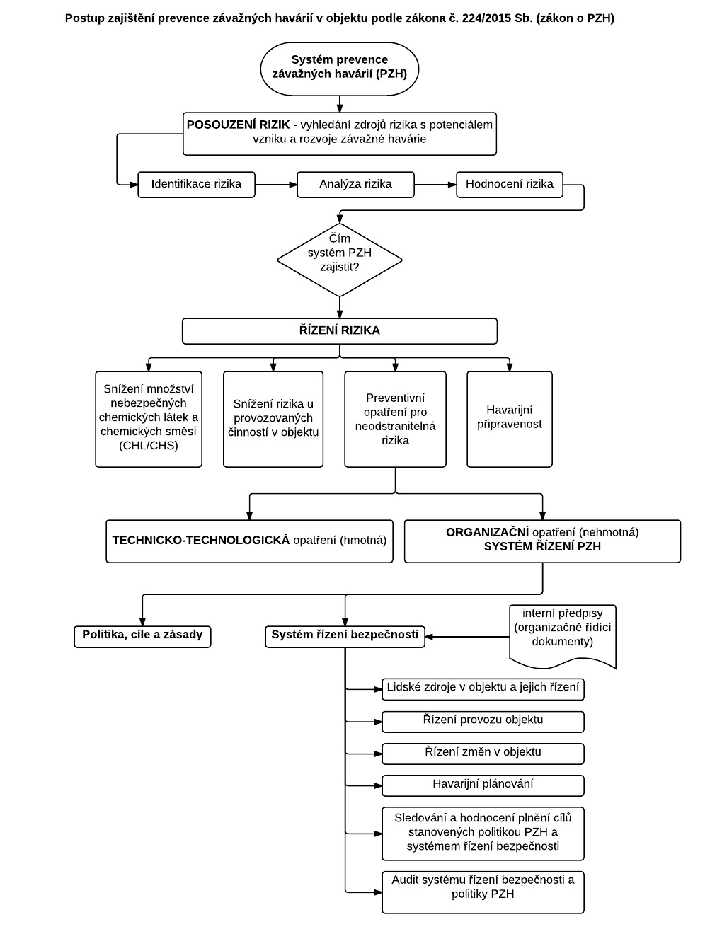
  • bezpečnostní informace zpracovávané pro objekty zařazené do skupiny A nebo B.

Volně přístupná část modulu soustřeďuje informace o provozovatelích, jejich objektech, povaze rizika, které objekty představují pro své okolí v souvislosti s přítomnými nebezpečnými chemickými látkami a vykonávanými činnostmi, dále o případném nebezpečí vzniku závažné havárie, včetně možného domino efektu, o preventivních bezpečnostních opatřeních, žádoucím chování obyvatel v případě vzniku závažné havárie a další. Tato část je tedy přístupná i nepřihlášeným uživatelům.

Aplikační část modulu pro podporu procesu posuzování bezpečnostní dokumentace je určena pro skupinu expertů, kteří posuzují úplnost a odbornou správnost bezpečnostních zpráv a bezpečnostních programů zpracovaných ve smyslu zákona o prevenci závažných havárií, tedy pro přihlášené uživatele s přidělenou rolí.

Tento nástroj zjednodušuje a zpřehledňuje proces posuzování, usnadňuje komunikaci mezi posuzovateli, usnadňuje i jejich práci s dokumenty a rozsáhlými přílohami a grafickými materiály, rovněž napomáhá řešení odborných problémů, sjednocuje posuzovací postupy a přístupy, přehledně archivuje data k jednotlivým objektům, a tím zachycuje jejich historii od doby, kdy v České republice vstoupil v platnost první zákon o prevenci závažných havárií.